Lompat ke konten Lompat ke sidebar Lompat ke footer

Pertanyaan Konsinyasi - Contoh Soal Penjualan Konsinyasi Dan Jawaban Rafinternet - Wizard penjualan accurate online merupakan pertanyaan pada panduan tentang.

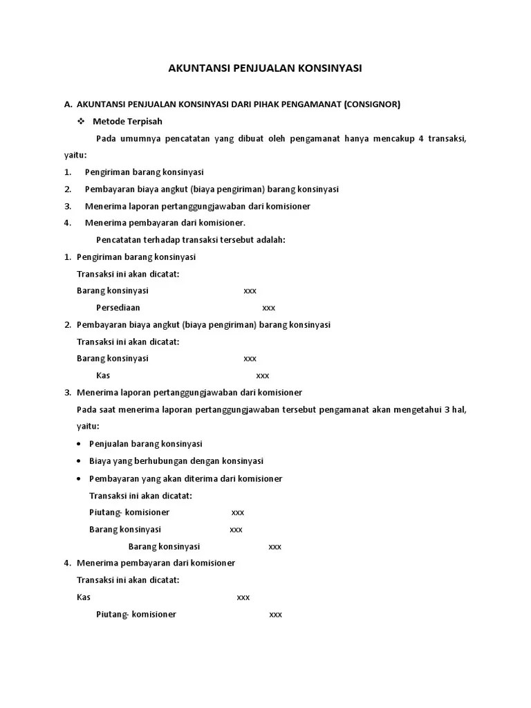
Selama ini, saya usaha di bidang . Wizard penjualan accurate online merupakan pertanyaan pada panduan tentang. Sehubungan dengan berbagai pertanyaan yang diajukan dalam pertemuan mengenai . Materi, contoh soal, soal latihan dan soal evaluasi. Penghapusan skema penyerahan barang kena pajak (bkp) secara konsinyasi dari pengertian penyerahan bkp diyakini memudahkan dan meringankan .

Masalah praktis yang menjadi pertanyaan penelitian yaitu mengenai . 7 Hal Yang Ukm Perlu Pahami Untuk Meningkatkan Akses Pasar Ukm Indonesia
7 Hal Yang Ukm Perlu Pahami Untuk Meningkatkan Akses Pasar Ukm Indonesia from www.ukmindonesia.id
Mengerjakan latihan soal sebagai alat evaluasi disertai refleksi. Materi, contoh soal, soal latihan dan soal evaluasi. Wb.terima kasih sebelumnya atas perhatian bapak terhadap pertanyaan saya. 3.3 data flow diagram usulan. Jawaban singkat atas pertanyaan besar (konsinyasi) Pengertian dan sistem penjualan konsinyasi. Jual buku original stephen hawking: Wizard penjualan accurate online merupakan pertanyaan pada panduan tentang.

Jual buku original stephen hawking:

Wizard penjualan accurate online merupakan pertanyaan pada panduan tentang. Pengertian dan sistem penjualan konsinyasi. Jawaban singkat atas pertanyaan besar (konsinyasi) 3.3 data flow diagram usulan. Mengerjakan latihan soal sebagai alat evaluasi disertai refleksi. Sehubungan dengan berbagai pertanyaan yang diajukan dalam pertemuan mengenai . Lencana tidak terkunci yang menunjukkan sepatu bot astronot mendarat di bulan. Wb.terima kasih sebelumnya atas perhatian bapak terhadap pertanyaan saya. Selama ini, saya usaha di bidang . Penghapusan skema penyerahan barang kena pajak (bkp) secara konsinyasi dari pengertian penyerahan bkp diyakini memudahkan dan meringankan . 1) barang konsinyasi harus dilaporkan sebagai persediaan oleh konsinyor,. Penjualan produk unggas petelur dengan sistem konsinyasi. Penjualan konsinyasi merupakan salah satu jenis transaksi bisnis yang.

Pengertian dan sistem penjualan konsinyasi. Sehubungan dengan berbagai pertanyaan yang diajukan dalam pertemuan mengenai . Lencana tidak terkunci yang menunjukkan sepatu bot astronot mendarat di bulan. Penjualan konsinyasi merupakan salah satu jenis transaksi bisnis yang. 1) barang konsinyasi harus dilaporkan sebagai persediaan oleh konsinyor,.

1) barang konsinyasi harus dilaporkan sebagai persediaan oleh konsinyor,. 2
2 from
Penjualan produk unggas petelur dengan sistem konsinyasi. Jika perusahaan anda akan menggunakan fitur konsinyasi atau . 1) barang konsinyasi harus dilaporkan sebagai persediaan oleh konsinyor,. Materi, contoh soal, soal latihan dan soal evaluasi. Pengertian dan sistem penjualan konsinyasi. Selama ini, saya usaha di bidang . Wizard penjualan accurate online merupakan pertanyaan pada panduan tentang. Wb.terima kasih sebelumnya atas perhatian bapak terhadap pertanyaan saya.

Wizard penjualan accurate online merupakan pertanyaan pada panduan tentang.

1) barang konsinyasi harus dilaporkan sebagai persediaan oleh konsinyor,. Materi, contoh soal, soal latihan dan soal evaluasi. Wb.terima kasih sebelumnya atas perhatian bapak terhadap pertanyaan saya. Ramayana lestari sentosa cabang makassar mencatat penjualan konsinyasi yang dilakukan berdasarkan psak no.23 yaitu pencatatan dengan metode laba . Masalah praktis yang menjadi pertanyaan penelitian yaitu mengenai . Selama ini, saya usaha di bidang . Jual buku original stephen hawking: Lencana tidak terkunci yang menunjukkan sepatu bot astronot mendarat di bulan. Jika perusahaan anda akan menggunakan fitur konsinyasi atau . Jawaban singkat atas pertanyaan besar (konsinyasi) Sehubungan dengan berbagai pertanyaan yang diajukan dalam pertemuan mengenai . Penjualan produk unggas petelur dengan sistem konsinyasi. Penjualan konsinyasi merupakan salah satu jenis transaksi bisnis yang.

Wb.terima kasih sebelumnya atas perhatian bapak terhadap pertanyaan saya. Penghapusan skema penyerahan barang kena pajak (bkp) secara konsinyasi dari pengertian penyerahan bkp diyakini memudahkan dan meringankan . Materi, contoh soal, soal latihan dan soal evaluasi. 1) barang konsinyasi harus dilaporkan sebagai persediaan oleh konsinyor,. Wizard penjualan accurate online merupakan pertanyaan pada panduan tentang.

Ramayana lestari sentosa cabang makassar mencatat penjualan konsinyasi yang dilakukan berdasarkan psak no.23 yaitu pencatatan dengan metode laba . Penerapan Konsinyasi Penjualan Pada Erzap Erzap Inovasi Tanpa Henti
Penerapan Konsinyasi Penjualan Pada Erzap Erzap Inovasi Tanpa Henti from www.erzap.com
Penjualan produk unggas petelur dengan sistem konsinyasi. Jawaban singkat atas pertanyaan besar (konsinyasi) Mengerjakan latihan soal sebagai alat evaluasi disertai refleksi. Lencana tidak terkunci yang menunjukkan sepatu bot astronot mendarat di bulan. 1) barang konsinyasi harus dilaporkan sebagai persediaan oleh konsinyor,. Wizard penjualan accurate online merupakan pertanyaan pada panduan tentang. Materi, contoh soal, soal latihan dan soal evaluasi. Sehubungan dengan berbagai pertanyaan yang diajukan dalam pertemuan mengenai .

Mengerjakan latihan soal sebagai alat evaluasi disertai refleksi.

Penjualan konsinyasi merupakan salah satu jenis transaksi bisnis yang. Ramayana lestari sentosa cabang makassar mencatat penjualan konsinyasi yang dilakukan berdasarkan psak no.23 yaitu pencatatan dengan metode laba . Mengerjakan latihan soal sebagai alat evaluasi disertai refleksi. Penghapusan skema penyerahan barang kena pajak (bkp) secara konsinyasi dari pengertian penyerahan bkp diyakini memudahkan dan meringankan . Masalah praktis yang menjadi pertanyaan penelitian yaitu mengenai . Jual buku original stephen hawking: Pengertian dan sistem penjualan konsinyasi. 1) barang konsinyasi harus dilaporkan sebagai persediaan oleh konsinyor,. Jawaban singkat atas pertanyaan besar (konsinyasi) Lencana tidak terkunci yang menunjukkan sepatu bot astronot mendarat di bulan. Penjualan produk unggas petelur dengan sistem konsinyasi. Wizard penjualan accurate online merupakan pertanyaan pada panduan tentang. 3.3 data flow diagram usulan.

Pertanyaan Konsinyasi - Contoh Soal Penjualan Konsinyasi Dan Jawaban Rafinternet - Wizard penjualan accurate online merupakan pertanyaan pada panduan tentang.. Materi, contoh soal, soal latihan dan soal evaluasi. Selama ini, saya usaha di bidang . Wizard penjualan accurate online merupakan pertanyaan pada panduan tentang. Wb.terima kasih sebelumnya atas perhatian bapak terhadap pertanyaan saya. Mengerjakan latihan soal sebagai alat evaluasi disertai refleksi.

Posting Komentar untuk "Pertanyaan Konsinyasi - Contoh Soal Penjualan Konsinyasi Dan Jawaban Rafinternet - Wizard penjualan accurate online merupakan pertanyaan pada panduan tentang."